オシロスコープ「プローブの補正」はしてみたけれど
計測器
- 公開:
- 2026/03/24
計測器に関わるいまさら聞けないふとした疑問 (初級編)
オシロスコープを使用する際、最初に、付属する「パッシブプローブの補正」を行ってから測定することを最初に教わります。
オシロスコープ本体にプローブを接続して、波形は矩形波になるようにプローブの調整トリマを回す、一連の準備作業ですが、その中で
ふとした疑問その1: そもそもプローブ補正って、何をしているのだろう?
ふとした疑問その2: 見た感じでほぼ矩形波になるようにはしたけど、それで良いのだろうか?
と思ったことはないでしょうか。
初心者向けのオシロスコープの入門資料では、「正しい波形になるように矩形波になるように調整します。」としか書いていないものも多くあります。
オシロスコープを使い始めたころ、私もそのようなことを思いつつ、あまり考えずにパッシブプローブの補正作業を行っていました。
今回は、ふとした疑問その1: そもそもプローブ補正って、何をしているのだろう?
についてざっくりイメージですが、簡単な原理も含めてスッキリさせたいと思います。
(1) 補正作業
早速、実際に補正をしてみます。
補正前
トリマを調整棒を使ってまわして
ほぼ矩形波になりました。
先に疑問その1の結論を書いてしまいますが、このプローブ補正をする理由は、
「オシロスコープの垂直軸 (電圧) 側で交流電圧 (交流成分) に関わる部分を正しく測るため」です。
調整棒を使って、可変コンデンサの容量を変えています。
- プローブの補正は、水平軸 (時間) には関係しません。
(2) パッシブプローブの補正でしていること
こちらは、オシロスコープの入門資料に載っているパッシブプローブの等価回路の図です。
パッシブプローブ (10:1プローブ) は、プローブ先端の電圧を10分の1にしてオシロスコープ側へ送り込む役割をします。
理解しやすいようイメージとして、直流電圧の場合と交流電圧の場合に分けて考えます。
直流電圧は抵抗を通り、(コンデンサは直流の場合、流れる電流はゼロ) オームの法則通り、R1の9MΩとR2の1MΩの直列回路で分圧されて10分の1になりますので、抵抗値は以下の条件を満たしていれば良いことになります。
一方、Rが無視できるほどの交流の電圧はコンデンサを通りますので、コンデンサの値は以下の条件を満たしていれば良いことになります。
電圧の分圧ですので、インピーダンスの計算式で出てくる1/jωCは用いず導出できます。
ここでコンデンサの分圧比は、プローブの浮遊容量などの影響で変わってしまうため、その補正として、C3の可変コンデンサを回して、1/10に合わせる作業が、プローブの補正ということになります。
実際には、補正するための信号は、直流成分と交流成分が合成されている矩形波ですので
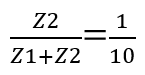
C1とR1の合成抵抗をZ1として、C1、C2、C3、R2の合成抵抗をZ2とした場合、
を満たす必要があり、これは、
と書き換えることができます。
実際のR、1/jωCでの計算式は省略しますが、C1・R1= (C1+C2+C3+C4)・R2の条件を満たすことで、交流のインピーダンスで出てくるω=2πfの部分が消え、測定対象の周波数成分の大小に影響されることなく、Z2/Z1=1/9が維持できることが導出できます。
言い換えれば、測定対象の持つ周波数がどのようなものであっても、プローブとオシロスコープの分圧比は変わらないということになります。
もし、Cの補正がされておらず、プローブ先端とオシロスコープの入力の電圧比が10:1ではなく9:1になってしまっているとすると、Rを通って10:1で入力されている直流の波形の部分 (矩形波の上の平坦な部分) よりも、信号の立ち上がり部分での交流成分を持つ電圧が大きくなることで、オーバーシュート (=信号が目標とする電圧レベルを一時的に超えてしまう現象) した状態となります。
これを過補償の状態といいます。
その逆で、プローブ先端とオシロスコープの入力の電圧比が11:1になってしまっているとすると、矩形波の上の平坦な部分よりも信号の立ち上がり部分での交流成分を持つ電圧は小さいため、なまった状態 (補償不足) になります。
過補償の波形
補償不足の波形
以上、パッシブプローブの補正の目的と原理のイメージの理解が進めば幸いです。
オシロスコープについて学びたい方は
実機操作による有償の計測器トレーニングも実施しています。(会場:神奈川県相模原市)
※当社とレンタルお取引のあるお客様向け 1開催あたり4名様より。
計測器実践トレーニング オシロスコープ入門 (1日コース)







